|
|
|
|
|
|
DIRECTORIO de la SECCIÓN |
PROBLEMAS DE ECUACIONES - I - |
|
Los documentos a los que desde aquí se accede han sido realizados expresamente para desarrollar los programas académicos que trabajamos con nuestros alumnos. También está disponible una estructura tipo «Wiki» colaborativa, abierta a cualquier docente o alumno que quiera participar en ella. Para acceder a estos contenidos se debe utilizar el «DIRECTORIO de la SECCIÓN». Para otras áreas de conocimiento u opciones use el botón: «Navegar» |
|
|
Introducción |
Cuando una igualdad algebraica se verifica siempre, cualquiera que sea el valor numérico de las letras o las variables, se denomina IDENTIDAD. Si la igualdad se cumple sólo para algunos valores de las letras o las variables, la igualdad se denomina ECUACIÓN. Por ejemplo:
x(a + b)= ax + bx
Es una IDENTIDAD: Se cumple cualesquiera que sean los valores de a, b o x.
4x-2y=2
Es una ECUACIÓN: Sólo se cumple cuando x=5 e y=9.
|
Ecuaciones simples: resolución |
La solución de problemas de ecuaciones requiere de la formulación de un modelo numérico que refleje, mediante la combinación adecuada de los datos conocidos y desconocidos buscados (incógnitas), en un conjunto de operaciones numéricas e igualdades cuyo cálculo suministrará la información buscada. Es lo que se conoce como PLANTEAMIENTO DEL PROBLEMA. Una vez planteada correctamente la cuestión, la solución se alcanza fácilmente actuando con rigor y método.

|
Resolviendo el problema I |
Enunciado:
A una representación escolar acuden 450 persona. El número de niños triplica al
de madres, mientras que los padres solo suman la mitad de ellas. ¿Cuántos
padres, madres y niños acuden al evento?
PLANTEAMIENTO
Incógnita principal:
Número de madres: x
Datos conocidos:
Total de asistentes: 450
Número de niños: 3x
Número de padres:
![]()
Número de niños: 3x
![]()
Resolución
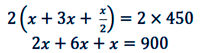
Eliminar dedominadores

Reducir términos
9x = 900
Despejar la incógnita principal
Resolviendo
el problema II![]()
Cálculo de otras incógnitas
Niños: 3x = 3 x 100 = 300
Padres:
=
![]()
SOLUCIÓN DEL PROBLEMA:
100 madres - 300 niños - 50 padres
Enunciado:
Dos inversores adquieren acciones de dos empresas
distintas. La compra de “A” asciende a 2.000 euros, mientras que la inversión de
“B” es de 10.000 euros. Ambos obtienen el mismo
beneficio, pero entonces “B” tiene tres veces más dinero que su compañero. ¿Qué
cantidades ganaron?
PLANTEAMIENTO
Incógnita principal:
Ganancia: x
Datos conocidos:
Capital final A: 2.000 + x
Capital final B: 10.000 + x
Ecuación final: 3(2.000 + x) = 10.000 + x
Resolución
Suprimir paréntesis
(3 x 2.000) + 3x = 10.000 + x
6.000 + 3x = 10.000 + x
Transponer términos
3x - x = 10.000 - 6.000
Reducir términos
2x = 4.000
Despejar la incógnita principal

SOLUCIÓN DEL
PROBLEMA:
Cada inversor obtiene un beneficio de 2.000 euros
|
Resolviendo el problema III |
Enunciado:
Una herencia se distribuye de la siguiente manera: La mitad del dinero será para la esposa, la tercera parte para el hijo y la décima parte para una sobrina. Si, además, quedan 20.000 euros para una obra benéfica, ¿a cuánto asciende la cantidad a repartir?
PLANTEAMIENTO
Incógnita principal:
Total de la herencia = x
Datos conocidos:
Herencia de la esposa:
![]()
Herencia del hijo:
![]()
Herencia de la sobrina:
![]()
Herencia obra benéfica: 20.000 euros
Ecuación final:
![]()
Resolución
Eliminar denominadores:
m.c.m.(2, 3, 10) = 30x
![]()
30x = 15x + 10x + 3x + 600.000
Transponer términos
30x - 5x - 10x - 3x = 600.000
Reducir términos
2x = 600.000
Despejar la incógnita principal
![]()
Cálculo de otras incógnitas
Esposa:
![]()
Hijo:
![]()
Sobrina:
![]()
SOLUCIÓN DEL
PROBLEMA:
Resolviendo
el problema IV
Esposa: 150.000 euros – Hijo: 100.000 euros –
Sobrina: 30.000 euros
Enunciado:
Un padre tiene 49 años y su hijo 11. ¿Cuántos años han de transcurrir para que el padre triplique la edad del hijo?
PLANTEAMIENTO
Incógnita principal:
Años transcurridos = x
Datos conocidos:
Edad del padre pasados x años: 49 + x
Edad del hijo pasados x años: 11 + x
Ecuación final: 49 + x = 3(11 + x)
Resolución
Efectuar paréntesis:
49 + x = 33 + 3x
Transponer términos
-3x + x = 33 - 49
Reducir términos
-2x = -16
Despejar la incógnita principal
![]()
SOLUCIÓN DEL
PROBLEMA:
Tiempo transcurrido: 8 años
ADEMÁS
|
Responsables últimos de este proyecto Antonio García Megía y María Dolores Mira y Gómez de Mercado Son: Maestros - Diplomados en Geografía e Historia - Licenciados en Flosofía y Letras - Doctores en Filología Hispánica |
|
Apunte estadístico Portal activo desde abril de 2004. Los auditores de seguimiento que contabilizan las visitas desde esa fecha acreditan una suma entre 4.000 y 10.000 visualizaciones diarias para el conjunto de secciones que lo integran. Las visitas en el servidor «https» son privadas y no quedan reflejadas en los contadores visibles |
|
|