|
|
|
|
|
|
DIRECTORIO de la SECCIÓN |
RAZONES Y PROPORCIONES |
|
Los documentos a los que desde aquí se accede han sido realizados expresamente para desarrollar los programas académicos que trabajamos con nuestros alumnos. También está disponible una estructura tipo «Wiki» colaborativa, abierta a cualquier docente o alumno que quiera participar en ella. Para acceder a estos contenidos se debe utilizar el «DIRECTORIO de la SECCIÓN». Para otras áreas de conocimiento u opciones use el botón: «Navegar» |
|
|
Introducción |
Se considera una
razón al cociente exacto entre dos
números. Es, por tanto, el resultado de dividir un
número entre otro. El primero
de ellos recibe el nombre de antecedente
y el segundo se denomina consecuente.
Se escribe en forma de número fraccionario:

El antecedente equivale al dividendo de una división y toma la forma de numerador de un número fraccionario.
El
consecuente equivale al
divisor
de una división y toma la forma de denominador de número fraccionario.
|
Operando con razones |
Las razones se consideran a todos los efectos
como números fraccionarios, por lo que se opera
con ellas de acuerdo con las reglas y principios
de los quebrados (ver
Operaciones con Números Fraccionarios:
Versión Web
-
Versión imprimible).
|
Razones compuestas |
Se llama razón compuesta al resultado de multiplicar entre sí todos los numeradores y denominadores de dos o más razones.

|
Proporciones |
Se denomina proporción a la igualdad establecida entre dos razones.

Extremos:
Numerador de la primera razón y denominador de la segunda.
Medios:
Denominador de la primera razón y numerador de la segunda.
|
|
Elementos de la proporción |
|
|
|
Primera razón |
Segunda razón |
|
Numerador |
Extremo |
Medio |
|
Denominador |
Medio |
Extremo |
![]()
Si en una proporción los medios son iguales se denomina continua

En cualquier proporción, el producto de
los extremos es igual al producto de los medios


En toda división el dividendo es igual
al divisor multiplicado por el
cociente. Luego:
![]()
Multiplicando ambos términos por d, la
igualdad se mantiene…
![]()
![]()
Simplificando el segundo miembro de la igualdad:

1.
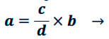
Cálculo de un extremo: Producto de los medios dividido entre el otro extremo.

2. Cálculo de un medio: Producto de los extremos dividido entre el otro medio.

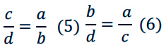
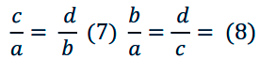
Una proporción puede escribirse de ocho maneras diferentes respetando siempre la
igualdad entre sus miembros:

Invirtiendo medios, o extremos, o medios y extremos a la vez

Invirtiendo los miembros de las cuatro proporciones anteriores


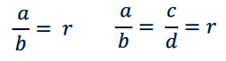
Se denomina razón
de proporcionalidad al resultado de efectuar el cociente entre los términos de
una razón. En el caso de una proporción la razón es la misma para los dos
cocientes:



ADEMÁS
|
Responsables últimos de este proyecto Antonio García Megía y María Dolores Mira y Gómez de Mercado Son: Maestros - Diplomados en Geografía e Historia - Licenciados en Flosofía y Letras - Doctores en Filología Hispánica |
|
Apunte estadístico Portal activo desde abril de 2004. Los auditores de seguimiento que contabilizan las visitas desde esa fecha acreditan una suma entre 4.000 y 10.000 visualizaciones diarias para el conjunto de secciones que lo integran. Las visitas en el servidor «https» son privadas y no quedan reflejadas en los contadores visibles |
|
|