|
|
|
|
|
|
DIRECTORIO de la SECCIÓN |
EL TEOREMA DE PITÁGORAS |
|
Los documentos a los que desde aquí se accede han sido realizados expresamente para desarrollar los programas académicos que trabajamos con nuestros alumnos. También está disponible una estructura tipo «Wiki» colaborativa, abierta a cualquier docente o alumno que quiera participar en ella. Para acceder a estos contenidos se debe utilizar el «DIRECTORIO de la SECCIÓN». Para otras áreas de conocimiento u opciones use el botón: «Navegar» |
|
|
El teorema |
En un triángulo
rectángulo, el cuadrado de la longitud de la hipotenusa es igual a la suma de
los cuadrados de las longitudes de los dos. Si un triángulo rectángulo tiene
catetos de longitudes a, y b , y la medida de la hipotenusa es
c, se establece que:

a2 + b2 = c2
a2 = c2 - b2
![]()
|
Aplicaciones prácticas |
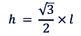
Cálculo de la altura de un triángulo equilátero



Cálculo del lado de un triángulo equilátero inscrito

![]()
Cálculo de la diagonal de un cuadrado

![]()
Cálculo del lado de un rectángulo inscrito

![]()
Cálculo de la diagonal de un rectángulo

![]()
Cálculo del lado oblicuo de un trapecio rectángulo

Teniendo en cuenta que:
n = B - b
![]()
Cálculo de la altura de un trapecio isósceles

Teniendo en cuenta que:
n = B - b
![]()
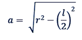
Cálculo de la apotema de un polígono regular


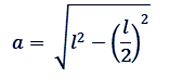
Cálculo de la apotema de un hexágono inscrito


ADEMÁS
|
Responsables últimos de este proyecto Antonio García Megía y María Dolores Mira y Gómez de Mercado Son: Maestros - Diplomados en Geografía e Historia - Licenciados en Flosofía y Letras - Doctores en Filología Hispánica |
|
Apunte estadístico Portal activo desde abril de 2004. Los auditores de seguimiento que contabilizan las visitas desde esa fecha acreditan una suma entre 4.000 y 10.000 visualizaciones diarias para el conjunto de secciones que lo integran. Las visitas en el servidor «https» son privadas y no quedan reflejadas en los contadores visibles |
|
|