|
|
|
|
|
|
DIRECTORIO de la SECCIÓN |
LAS ECUACIONES DE SEGUNDO GRADO |
|
Los documentos a los que desde aquí se accede han sido realizados expresamente para desarrollar los programas académicos que trabajamos con nuestros alumnos. También está disponible una estructura tipo «Wiki» colaborativa, abierta a cualquier docente o alumno que quiera participar en ella. Para acceder a estos contenidos se debe utilizar el «DIRECTORIO de la SECCIÓN». Para otras áreas de conocimiento u opciones use el botón: «Navegar» |
|
|
Introducción |
Se denominan ecuaciones de segundo grado a aquellas en que la incógnita aparece elevada a la segunda potencia como mayor exponente.
3x2+4x=30
Las ecuaciones con una incógnita, una vez preparadas, solamente pueden tener tres términos:
1- Término con la incógnita elevada al cuadrado: ax2
2 - Término con la incógnita elevada a la primera potencia: bx
3 -Término numérico independiente (c). ax2+bx+c=0
Se dice de la ecuación completa, cuando constan los tres términos anteriores, e incompleta si falta la incógnita en grado 1, el término independiente, o ambos.
Son incompletas: ax2+c=0 y ax2=0
Antes de resolver una ecuación de segundo grado es preciso prepararla hasta alcanzar la forma:
ax2+bx+c=0
El proceso pasa las siguientes fases:



En este caso concreto, al ser todos los miembros divisible entre 2, puede simplificarse la ecuación quedando definitivamente así:
![]()
Es importante advertir que las ecuaciones de este tipo, salvo casos excepcionales, tienen dos soluciones correspondientes a los signos + y -.
|
Resolución |
Ecuaciones incompletas
Tipo 1: ax2 = 0
Despejando la incógnita:

Extrayendo la raíz cuadrada de ambos miembros:
![]()
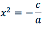
Tipo 2: ax2 + c = 0
Pasando c al segundo miembro:
ax2 = -c
Despejando la incógnita:

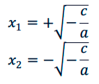
Extrayendo la raíz cuadrada de ambos miembros:

Soluciones:
Extrayendo la raíz cuadrada de ambos miembros:

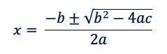
Ecuaciones completas
Las ecuaciones de segundo grado completas se resuelven siempre aplicando la siguiente fórmula:

Justificación:
ax2 + bx + c = 0
Pasando c al segundo miembro:
ax2 + bx = -c
Multiplicando ambos términos por 4a se obtiene la igualdad equivalente:
4a2x2 + 4abx = -4ac
Sumando b2 a ambos miembros de la igualdad se obtiene la equivalente [1]:
4a2x2 + 4abx + b2 = b2 - 4ac
El primer miembro se corresponde con el desarrollo del cuadrado de una suma
(a + b)2 = a2 + b2 + 2ab
En este caso:
(2ax + b)2 = 4a2x2 + b2 + 4axb
Sustituyendo en [1] queda:
(2ax + b)2 = b2 - 4ac
Hallando la raíz cuadrada de ambos miembros:
![]()
Transponiendo el coeficiente b:
![]()
Despejando la incógnita:

ADEMÁS
|
Responsables últimos de este proyecto Antonio García Megía y María Dolores Mira y Gómez de Mercado Son: Maestros - Diplomados en Geografía e Historia - Licenciados en Flosofía y Letras - Doctores en Filología Hispánica |
|
Apunte estadístico Portal activo desde abril de 2004. Los auditores de seguimiento que contabilizan las visitas desde esa fecha acreditan una suma entre 4.000 y 10.000 visualizaciones diarias para el conjunto de secciones que lo integran. Las visitas en el servidor «https» son privadas y no quedan reflejadas en los contadores visibles |
|
|