|
|
|
|
|
|
DIRECTORIO de la SECCIÓN |
ECUACIONES DE PRIMER GRADO |
|
Los documentos a los que desde aquí se accede han sido realizados expresamente para desarrollar los programas académicos que trabajamos con nuestros alumnos. También está disponible una estructura tipo «Wiki» colaborativa, abierta a cualquier docente o alumno que quiera participar en ella. Para acceder a estos contenidos se debe utilizar el «DIRECTORIO de la SECCIÓN». Para otras áreas de conocimiento u opciones use el botón: «Navegar» |
|
|
Introducción |
Una expresión algebraica es
toda combinación de variables y números relacionados mediante operaciones de
suma, resta, multiplicación, división... Cuando dos expresiones numéricas o
algebraicas se relacionan entre sí mediante el signo igual, se denomina
igualdad.
(a+b)2=a2+2ab+b2
Cuando la igualdad se verifica siempre cualquiera que sea el valor numérico de
las letras o las variables, como ocurre en el ejemplo anterior, se denomina
identidad. Si la igualdad se
cumple sólo para algunos valores de las letras o las variables, la igualdad se
denomina ecuación. Un ejemplo:
3x+4=19
La expresión anterior se verifica sólo cuando x=5. Cualquier otro valor
atribuido a la variable x no cumple la igualdad. Se trata, por tanto, de una
ecuación. También es
ecuación la igualdad:
4x-2y=2
Sólo se cumple cuando x=5 e y=9.
La resolución de ecuaciones, es
decir, el cálculo de las variables o
incógnitas que hacen válida la igualdad, permite encontrar la solución de
una enorme cantidad de problemas científicos o de la vida cotidiana.
|
Clases de ecuaciones |
Ecuaciones con una o más incógnitas:
3x+5=x+3
3x+4y-12=3y
Con la incógnita en un denominador:
fraccionarias
Con la incógnita bajo un radical:
Irracionales
![]()
Varias ecuaciones relacionadas con varias incógnitas constituyen un
Sistema de Ecuaciones
5x - 2y = 11
3x - y = 7
El exponente que acompaña a la incógnita indica el grado de la
ecuación. Si ninguna incógnita
está elevada a una potencia se dice de
primer grado. Si la incógnita
está elevada al cuadrado de segundo
grado. Si está elevada al cubo, se dice de
tercer grado...
x + 6 = 18
Ecuación de Primer Grado
x2
+ 6 = 10
Ecuación de Segundo Grado
x3
- 2 = 7
Ecuación de Tercer Grado
Resolución:
Fundamentos
Encontrar la solución a un problema planteado
mediante una ecuación, o sistema de ecuaciones, se fundamenta sobre la idea de
ecuación
equivalente. Se denominan
ecuaciones
equivalentes a aquellas que tiene la misma
solución final para sus incógnitas:
Ecuación 1
![]()
Se cumple para x = 6
3 + 5 = 9 - 1
Ecuación 2
![]()
Se cumple para x = 6
6 + 2 = 3 + 5
La Ecuación 1
y la Ecuación 2
que se cumplen para el mismo valor de x
son
equivalentes.
Partiendo de la idea de equivalencia entre ecuaciones, se recurre a la
aplicación de algunos teoremas básicos que facilitan el cálculo de las
soluciones buscadas.
Teorema I:
Si a los dos miembros de una ecuación se le suma un mismo número o expresión, se
obtiene otra ecuación equivalente.
La ecuación: 3x -
7 = 2x - 3 se cumple para x = 4
12 - 7 = 8 - 3
Sumando 7 en ambos miembros:
3x - 7 + 7 = 2x - 3 + 7
3x = 2x + 4
Se sigue cumpliendo para x = 4
12 = 8 + 4
Luego 3x -
7 = 2x - 3 y
3x - 7 + 7 = 2x - 3 + 7 son
equivalentes
En la práctica, se puede pasar cualquier término de
una ecuación de un miembro a otro con la única condición de cambiarle el signo.
Es la operación denominada
transposición de
términos.
3x - 7 = 2x - 3
3x = 2x - 3 + 7
3x - 7 = 2x - 3
3x - 2x - 7 = - 3
3x - 7 = 2x - 3
3x - 2x = - 3 + 7
Teorema II: Si
los dos miembros de una ecuación se multiplican o dividen por un mismo número o
expresión, se obtiene otra ecuación equivalente.
La ecuación
![]()
se verifica para x = 4
2 + 4 + 2 = 8
Multiplicando ambos miembros por 2:
![]()
![]()
se verifica para x = 4
4 + 8 + 4 = 16
Luego, las ecuaciones:
![]()
y
![]()
son
equivalentes
En la práctica, este teorema permite eliminar
denominadores y despejar incógnitas: Todo denominador desaparece si se
multiplica por él resto de los términos de la ecuación[1].
Todo coeficiente que multiplica, divide al cambiar de miembro.
![]()
2x - 12 = 32
Se ha eliminado el denominador
3x=18
![]()
Se ha despejado la incógnita
|
Resolución de ecuaciones simples |
La solución de problemas de ecuaciones requiere de la formulación de un
modelo numérico que refleje, mediante la combinación adecuada de los datos
conocidos y desconocidos buscados (incógnitas), en un conjunto de
operaciones numéricas e igualdades cuyo cálculo suministrará la información
buscada. Es lo que se conoce como
Planteamiento del Problema. Una vez planteada correctamente la
cuestión, la solución se alcanza fácilmente actuando con rigor y método.
Ejemplo:
Se busca un número tal cuya suma con el triple de otro número menor que él
en cuatro unidades, sea igual a la mitad de su cuádruplo menos dos.
Datos e incógnitas:
Número buscado = x
Número menor en cuatro unidades = x-4
Triple del número menor= 3(x-4)
Suma de ambos números= x+ 3(x-4)
Cuádruplo del número buscado = 4x
Planteando la ecuación acuerdo con los datos anteriores:
![]()
Eliminando paréntesis:
![]()
![]()
Suprimiendo
los denominadores:
![]()
![]()
Transponiendo términos:
8x - 4x = -4 + 24
4x = 20
Despejando la incógnita:
![]()
Sistemas de
ecuaciones simples
Para encontrar la solución de un sistema de dos o más ecuaciones con dos o más incógnitas se pueden seguir tres procedimientos diferentes que llegan a la misma conclusión.
Método de sustitución:
Ejemplo:
5x - 2y = 11
3x - y = 7
Paso 1. Se despeja una de las incógnitas en una ecuación:
5x - 2y = 11
5x = 11 + 2y
![]()
Paso 2. Se sustituye la misma incógnita en la segunda ecuación por la
expresión obtenida. Se resuelve la nueva ecuación.
3x - y = 7
![]()
...y se calcula el valor de
y
![]()
33 + 6y - 5y = 35
y = 35 - 33 = 2
Paso 3. Se calcula la incógnita despejada en el Paso 1, conocido el valor de
la segunda.
![]()
![]()
Método de igualación:
Ejemplo:
5x - 2y = 11
3x - y = 7
Paso 1. Se despeja la misma incógnita en las dos ecuaciones:
Ecuación 1 (Calculada también en el epígrafe anterior)
5x - 2y = 11
5x = 11 + 2y
![]()
Ecuación 2
3x - y = 7
3x = 7 + y
![]()
Paso 2. Se igualan las dos expresiones finales obtenidas:
![]()
...y se calcula el valor de
y
6y - 5y = 35 - 33
y = 2
Paso 3. Se calcula el valor de la primera incógnita a partir de cualquiera
de las expresiones que la despejan.
![]()
![]()
Método de reducción:
Ejemplo:
5x - 2y = 11
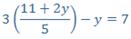
3x - y = 7
Paso 1.
Incógnita 1
- Se multiplica los dos miembros de cada ecuación por el coeficiente que
acompaña a la incógnita en la otra:
Ecuación 1
3(5x - 2y) = 3 · 11
15 x - 6y = 33
Ecuación 2
5(3x - y) = 5 · 7
15 x - 5 y = 35
Restando ambas expresiones
15 x - 6y = 33
15 x - 5 y = 35
y = 2
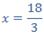
Paso 2.
Incógnita 2
- Se sustituye y despeja en cualquiera de las expresiones.
x=3
[1] Muy
importante: Si en la ecuación hay dos o más denominadores todos los
términos se multiplicarán por el m.c.m. de los denominadores
ADEMÁS
|
Responsables últimos de este proyecto Antonio García Megía y María Dolores Mira y Gómez de Mercado Son: Maestros - Diplomados en Geografía e Historia - Licenciados en Flosofía y Letras - Doctores en Filología Hispánica |
|
Apunte estadístico Portal activo desde abril de 2004. Los auditores de seguimiento que contabilizan las visitas desde esa fecha acreditan una suma entre 4.000 y 10.000 visualizaciones diarias para el conjunto de secciones que lo integran. Las visitas en el servidor «https» son privadas y no quedan reflejadas en los contadores visibles |
|
|